语言选择:简体 / 繁體 / English

立博首页药业 传递健康

立博首页招标公告

立博首页药业 传递健康

呼吸系统疾病

注射用盐酸氨溴索

【规    格】(1)15mg  (2)30mg

【包    装】西林瓶;1支/盒、4支/盒、10支/盒、20支/盒。

【单    位】支

【批准文号】(1)15mg 国药准字H20163246  (2)30mg 国药准字H20163247


分享:
  • 药品介绍
  • 适应症
  • 用法用量

【药品名称】

    通用名称:注射用盐酸氨溴索 

    英文名称:Ambroxol Hydrochloride for Injection

    汉语拼音:Zhusheyong Yansuananxiusuo 


【成    份】本品主要成份为盐酸氨溴索。

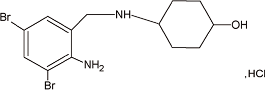
    化学名称:反式-4-[(2-氨基-3,5-二溴苄基)氨基]环己醇盐酸盐。

    化学结构式: 


       分子式.png                     


    分子式:C13H18Br2N2O·HCl          

    分子量:414.57

    本品辅料为:甘露醇和注射用水。


【性    状】本品为白色疏松块状物或粉末。


【规    格】(1)15mg  (2)30mg


【不良反应】

    本品通常能很好耐受。曾有轻度的胃肠道不良反应报道,主要为胃部灼热、消化不良和偶尔出现恶心、呕吐。过敏反应极少出现,主要为皮疹。极少病例出现严重的急性过敏性反应,但其与盐酸氨溴索的相关性尚不能肯定,这类病人通常对其他物质亦产生过敏。快速静注可引起头痛、腿痛和疲惫感。

不良反应的发生率定义如下:

 

免疫系统疾病/皮肤和粘膜组织疾病

   不常见:红斑。

   未知:变态反应(包括过敏性休克)、血管神经性水肿、皮疹、荨麻疹、瘙痒及其他超敏反应;有严重急性过敏反应的报道,与本药的关系尚不确定,此类患者通常对其他物质亦出现过敏。

胃肠疾病

   不常见:口干、便秘、流涎、咽干。

   未知:胃部灼热、恶心、呕吐、腹泻、消化不良、腹部疼痛。

呼吸系统、胸廓和纵膈疾病

   不常见:流涕、呼吸困难(超敏反应症状之一)。

肾脏和泌尿系统疾病

   不常见:排尿困难。

全身性疾病以及给药局部异常

   不常见:体温升高、畏寒,以及粘膜反应。


【禁    忌】

    已知对盐酸氨溴索或其它配方成份过敏者禁用。

【注意事项】

    本品用无菌注射用水溶解后pH5.0,不能与pH大于6.3的其它溶液混合。因为pH增加会导致产生氨溴索游离碱沉淀。

警告

  该品种在上市后安全性监测中有严重过敏性休克的报告,故对特殊人群、有过敏史和高敏状态(如支气管哮喘等气道高反应)的患者应慎用本品。用药后如出现过敏反应须立即停药,并根据反应的严重程度给予对症治疗。一旦出现过敏性休克应立即给予急救。

慎用

  以下情况慎用本品:①肝、肾功能不全者;②胃溃疡患者;③支气管纤毛运动功能受阻及呼吸道出现大量分泌物的患者(恶性纤毛综合征患者等,可能有出现分泌物阻塞气道的危险);④青光眼患者。

一般注意事项

  (1)禁止本品与其他药物在同一容器内混合,注意配伍用药,应特别注意避免与头孢类抗生素、中药注射剂等配伍应用。

  (2)禁止本品(pH5.0)与pH大于6.3的其他偏碱性溶液混合,因为pH值增加会导致产生本品游离碱沉淀。

  (3)若静脉用药时注射速度过快,极少数患者可能会出现头痛、疲劳、精疲力竭、下肢沉重等感觉。

  (4)在极少数病例中,出现了严重的皮肤反应,比如Stevens-Johnson综合征和Lyell's综合征(中毒性表皮坏死松懈症;TEN),这些症状的出现都与患者使用时的状态相关。上述病例中的大部分都是由潜在疾病或者伴随用药引起的。如果患者在用药后新出现皮肤或者粘膜损伤,应及时报告医生,并停用本品。


【孕妇及哺乳期妇女用药】 临床前试验及用于妊娠28周后的大量临床试验显示,对妊娠无不良影响。但妊娠期间应慎用药物,特别是妊娠前三个月应注意观察,药物可进入乳汁,但治疗剂量对婴儿应无影响。


【儿童用药】见【用法用量】


【老年用药】无特殊注意事项,请按成人用法用量。


【药物相互作用】本品与抗生素协同治疗(阿莫西林、头孢呋辛、红霉素、强力霉素)可导致抗生素在肺组织浓度升高,与其它药物合用所致临床相关不良影响未见报道。


【药物过量】迄今无有关过量症状的报道,如发生,则应对症处理。


【药理毒理】 

    本品为粘液溶解剂,能增加呼吸道粘膜浆液腺的分泌,减少粘液腺分泌,从而降低痰液粘度;还可促进肺表面活性物质的分泌,增加支气管纤毛运动,使痰液易于咳出。


【药代动力学】

    本品从血液至组织的分布快且显著,肺脏为主要靶器管。血浆半衰期为7-12小时,无累积效应。盐酸氨溴索主要在肝脏代谢,大约90%经肾脏排除。


【贮    藏】密封,在阴凉处(不超过20℃)保存。


【包    装】西林瓶;1支/盒、4支/盒、10支/盒、20支/盒。


【有 效 期】24个月。


【执行标准】YBH19092005-2016Z


【批准文号】(1)15mg 国药准字H20163246  (2)30mg 国药准字H20163247


【生产企业】

 企业名称:山东裕欣药业有限公司

 生产地址:临沂市罗庄区罗七路中段西侧

 邮政编码:276017

 电话号码:0539-8257899  8481991

 传真号码:0539-8481990

 售后服务:0539-8242699

 网  址:www.bluehippomusic.com








 

适用于伴有痰液分泌不正常及排痰功能不良的急性、慢性呼吸道疾病,例如慢性支气管炎急性加重、喘息型支气管炎、支气管扩张及支气管哮喘的祛痰治疗。

术后肺部并发症的预防性治疗。

早产儿及新生儿婴儿呼吸窘迫综合症(IRDS)的治疗。


本品用前用5ml无菌注射用水溶解,缓慢静脉注射。亦可用适量无菌注射用水稀释后与葡萄糖、果糖、0.9%氯化钠注射液或林格氏液混合静脉点滴使用。

    预防治疗:

    成人及12岁以上儿童:每天2~3次,每次15mg,严重病例可以增至每次30mg;

    6~12岁儿童:每天2~3次,每次15mg

    2~6岁儿童:每天3次,每次7.5mg

    2岁以下儿童:每天2次,每次7.5mg

    婴儿呼吸窘迫综合症(IRDS)的治疗:

    每日用药总量以婴儿体重计算30mg/kg,分4次给药,应使用注射泵给药。静脉注射时间至少5分钟。