立博首页招标公告
【规 格】0.25g、0.5g
【包 装】铝塑包装;6片/盒、8片/盒、10片/盒、12片/盒
【单 位】片
【批准文号】(1)0.25g 国药准字H20153062 (2)0.5g 国药准字H20153063
【药品名称】
通用名称:头孢丙烯片
英文名称:Cefprozil Tablets
汉语拼音:Toubaobingxi Pian
【成 份】本品主要成份为头孢丙烯。
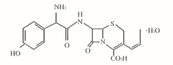
化学名称:(6R,7R)-7-[(R)-2-氨基-2-(对羟基苯基)乙酰氨基]-8-氧代-3-丙烯-5-硫杂-1-氮杂双环[4.2.0]辛-2-烯-2-羧酸一水合物。
化学结构式:

分子式:C18H19N3O5S•H2O
分子量:407.45
【性 状】本品为薄膜衣片,除去包衣后显类白色至淡黄色。
【规 格】0.25g、0.5g
【不良反应】
1.头孢丙烯的不良反应与其他口服头孢菌素相似,主要为胃肠道反应,包括腹泻,恶心,呕吐和腹痛等。亦可发生过敏反应,常见为皮疹,荨麻疹。儿童发生过敏反应较成人多见,多在开始治疗后几天内出现,停药后几天内消失。
其他不良反应较少,包括:
肝胆系统:AST(谷草转氨酶)和ALT(谷丙转氨酶)升高。偶见碱性磷酸酶和胆红素升高。胆汁瘀积性黄疸罕见。
中枢神经系统:头晕,活动过度,头痛,精神紧张、失眠、意识混乱,偶见嗜睡,因果关系尚不明确。所有这些反应均呈可逆性。
血液系统:白细胞减少,嗜酸性粒细胞增多。罕见凝血酶原时间延长。
肾脏:血清尿素氮增高,血清肌酐增高。
其他:尿布疹和二重感染,生殖器瘙痒和阴道炎。
下述不良事件,无论是否已明确其与头孢丙烯的因果关系,在上市后监测中均少见。包括过敏,血管神经性水肿,结肠炎(包括伪膜性结肠炎),多形性红斑,发热,血清病样反应,Stevens-Johnson综合征和血小板减少症。在本品上市后的监测期间,曾有过牙齿变色、肝毒性包括肝炎的不良反应报告。
2.头孢菌素类药物的不良反应
除上述所列使用头孢丙烯发生的不良反应外,头孢菌素类药物尚有以下的不良反应和引起实验室检查异常:
再生障碍性贫血,溶血性贫血,出血,肾功能不全,中毒性表皮坏死,中毒性肾病,凝血酶原时间延长,Coomb’s试验阳性,LDH增高,全血细胞减少,中性粒细胞减少,粒细胞缺乏症。
有几种头孢菌素药物与癫痫发作有关,特别是肾功能损伤患者未减少用药量时(见用法用量)。如与药物治疗有关的癫痫发作,应停用药物,并根据临床表现进行抗惊厥治疗。
【禁 忌】对本制剂中的任何成分以及头孢菌素类药物过敏的患者,禁用。
【注意事项】
使用本品治疗前,应仔细询问病人是否有头孢丙烯和其他头孢菌素类药物、青霉素类及其他药物的过敏史。有青霉素过敏史患者服用本品应谨慎。凡以往有青霉素类药物所致过敏性休克史或其他严重过敏反应者不宜使用本品。目前已有明确证据证明,在β-内酰胺类抗生素中存在交叉过敏。在对青霉素过敏的患者中,与本品发生交叉过敏的可能性最高达10%。如发生过敏反应,应停止用药。严重过敏反应需使用肾上腺素并采取其他紧急措施,包括给氧、静脉输液,静注抗组胺药、皮质激素、升压药及人工呼吸。
几乎所有抗菌药物包括头孢丙烯长期使用可引起非敏感性微生物的过度生长,改变肠道正常菌群,诱发二重感染,尤其是伪膜性肠炎。因此应仔细观察用药病人服药后的反应,特别注意对继发腹泻患者的诊断。如在治疗期间发生二重感染,应采取适当的措施。对伪膜性肠炎患者,轻度病例仅需停用药物,而中至重度病例,根据临床症状采取调节水和电解质平衡,补充蛋白,和用对耐药菌有效的抗菌药物治疗。
确诊或疑有肾功能损伤的病人(见用法用量)在用本品治疗前和治疗时,应严密观察临床症状并进行适当的实验室检查。在这些病人中,常规剂量时血药浓度较高或/和排泄减慢,故应减少本品的每日用量。同时服用强利尿剂治疗的病人使用头孢菌素应谨慎,因为这些药物可能会对肾功能产生有害影响。
患有胃肠道疾病,尤其是肠炎病人应慎用头孢丙烯。
包括头孢丙烯在内的几乎所有的抗生素在应用中都曾有发生难辨梭菌相关性腹泻(Clostridium difficilc associated diarrhea,CDAD)的报告,其严重程度从轻度腹泻到致死性的结肠炎不等。抗菌药物治疗会改变患者结肠部位的正常菌群,导致难辨梭菌过度生长。
难辨梭菌产生的毒素A和B是导致难辨梭菌相关性腹泻(CDAD)发生的原因。难辨梭菌的产剧毒菌株可引起CDAD发病率和死亡率的升高,由于这些感染属于抗微生物药物难治性感染,所以可能需要对此类患者进行结肠切除术。凡在使用抗生素后出现腹泻的患者,都必须考虑发生CDAD的可能性。曾报告,在抗菌药物治疗结束2个月后发牛CDAD,因此在进行CDAD鉴别时需要认真了解患者的病史。
一旦怀疑或者确认患者发生了CDAD,可能需要停止患者正在接受的抗生素治疗(对难辨梭菌有直接抑制作用的抗生素除外)。同时应根据临床指征,对患者进行适当的液体和电解质管理,补充蛋白、使用抗生素治疗难辨梭菌感染并进行手术评估。
据报告,患者在接受头孢菌素类抗生素治疗期间,直接Coomb’s试验结果阳性。
若内包装标签受损,不得使用本品。
【孕妇及哺乳期妇女用药】
目前尚无本品用于孕妇的足够和有良好对照的临床研究。在怀孕期间,只有在确实需要的情况下方可使用本品。哺乳期妇女一次口服头孢丙烯1克,可在乳汁中测得少量药物(<服入量的0.3%)。24小时平均浓度为0.25-3.3mg/L。由于尚不明确头孢丙烯对婴儿的影响,故哺乳期妇女服用本品应谨慎。
【儿童用药】
尚无6个月以下儿童患者使用头孢丙烯的安全性和疗效的资料。然而,已有有关其他头孢菌素类药物在新生儿体内蓄积(由于在此年龄段儿童药物半衰期延长)的报道。
【老年用药】
老年人(≥65岁)平均AUC相对于年轻成人约增高35%-60%,女性AUC较男性AUC高15%-20%。但头孢丙烯药代动力学在年龄、性别间差异不足以说明有调整剂量的必要。
【药物相互作用】
已有氨基糖苷类抗生素和头孢菌素合用引起肾毒性的报道。与丙磺舒合用可使头孢丙烯AUC增加一倍。
药物/实验室试验相互作用:头孢菌素类抗生素可引起尿糖还原试验(Benedict或Feling氏试剂或硫酸铜片状试剂(Clinitest®片)假阳性反应,但尿糖酶学试验(如Tes-Tape®尿糖试纸)不产生假阳性。此类药物可引起假阴性血糖铁氰化反应。血液中头孢丙烯不干扰用碱性苦味酸盐法对血或尿中肌酐量的测定。
【药物过量】
头孢丙烯主要经肾脏清除,对严重过量,尤其是肾功能损伤患者,血液透析有助于头孢丙烯清除。
【药理毒理】
药理:本品为第二代头孢菌素类药物,具有广谱抗菌作用。
该药的杀菌机制是阻碍细菌细胞壁合成。
体外试验证明,头孢丙烯对革兰阳性需氧菌中的金黄色葡萄球菌(包括产β-内酰胺酶菌株)、肺炎链球菌、化脓性链球菌作用明显,对坚忍肠球菌,单核细胞增多性李斯特菌,表皮葡萄球菌,腐生葡萄球菌、Warnei葡萄球菌、无乳链球菌,链球菌C、D、F、G组和草绿色链球菌具抑制作用。对耐甲氧西林葡萄球菌和粪肠球菌无效,对革兰阴性需氧菌的嗜血流感杆菌(包括产β-内酰胺酶菌株)、卡他莫拉菌(包括产β-内酰胺酶菌株)高度敏感;可抑制Diversus枸橼酸菌,大肠杆菌,肺炎克雷伯菌,淋病奈瑟菌(包括产β-内酰胺酶菌株),奇异变形杆菌,沙门菌属,志贺菌和弧菌的繁殖,对不动杆菌属,肠杆菌属,摩氏摩根菌属,普通变形杆菌,普罗威登菌属,假单孢菌属的多数菌株无抗菌作用。
头孢丙烯对厌氧菌中的黑色素类杆菌、艰难梭杆菌、产气荚膜杆菌、梭杆菌属、消化链球菌和痤疮丙酸杆菌具一定抑制作用,对多数脆弱杆菌株无抗菌作用。
毒理:尚无可靠参考文献。
【药代动力学】
国内试验已经证明空腹口服该药片剂和混悬剂具生物等效。
文献报道,受试者空腹口服头孢丙烯,约95%给药量可被吸收。在健康者的平均血浆半衰期为1.3小时,稳态分布容积约0.23L/kg。总清除率和肾清除率分别为3ml/min/kg和2.3ml/min/kg左右。
受试者空腹口服头孢丙烯250mg、500mg或1g,平均血药峰浓度分别为6.1、10.5和18.3mg/L,服药后1.5小时内可达血药峰浓度,尿回收率约为服药量的60%。
口服250mg、500mg和lg后最初4小时,尿中平均浓度分别为700mg/L、1000mg/L和2900mg/L。
片剂或混悬剂与食物同服不影响头孢丙烯的吸收(AUC)和血药峰浓度,但达峰时间可延长0.25小时至0.75小时。
血浆蛋白结合率约为36%,当血药浓度在2~20mg/L范围内时,血浆蛋白结合率与血药浓度变化无关。
肾功能正常者口服头孢丙烯剂量达1000mg,每8小时一次,连续10天,未见有药物血浆蓄积现象。
肾功能减退病人,根据其肾功能损害程度不同,头孢丙烯血浆半衰期可延长至5.2小时;肾功能完全丧失患者,头孢丙烯的血浆半衰期可达5.9小时。血液透析时,半衰期缩短。肾功能明显不全患者的头孢丙烯排泄途径尚不明确(见注意事项与用法用量)。
头孢丙烯在肝功能损害病人的血浆半衰期可增至2小时左右,但这种改变并不意味着肝功能损伤患者需调整剂量。
老年人(≥65岁)平均AUC相对于年轻成人约增高35%~60%,女性AUC较男性AUC高15%~20%。但头孢丙烯药代动力学在年龄、性别间差异不足以说明有调整剂量的必要。
哺乳期妇女一次口服头孢丙烯1克,可在乳汁中测得少量药物(<服入量的0.3%)。24小时平均浓度为0.25~3.3mg/L。由于尚不明确头孢丙烯对婴儿的影响,故哺乳期妇女服用本品应谨慎。
尚无有关头孢丙烯的脑脊液中药代动力学资料。
【贮 藏】遮光,密封,在阴凉(不超过20℃)干燥处保存。
【包 装】铝塑包装;6片/盒、8片/盒、10片/盒、12片/盒
【有 效 期】24个月。
【执行标准】《中国药典》2015年版二部 YBH00772015
【批准文号】(1)0.25g 国药准字H20153062 (2)0.5g 国药准字H20153063
【生产企业】
企业名称:立博首页
生产地址:山东省临沂高新技术产业开发区罗七路
邮政编码:276017
电话号码:0539-8257899 8481991
传真号码:0539-8481990
售后服务:0539-8242699
网 址:www.bluehippomusic.com
用于敏感菌所致的下列轻、中度感染:
1.上呼吸道感染
(1)化脓性链球菌性咽炎/扁桃体炎。
注:通常治疗和预防链球菌感染(包括预防风湿热)应选择肌内注射青霉素。虽然头孢丙烯一般可有效清除鼻咽部的化脓性链球菌,但目前尚无可供借鉴的头孢丙烯预防继发性风湿热的资料。
(2)肺炎链球菌、嗜血流感杆菌(包括产β-内酰胺酶菌株)和卡他莫拉菌(包括产β-内酰胺酶菌株)性中耳炎和急性鼻窦炎。
2.下呼吸道感染
由肺炎链球菌、嗜血流感杆菌(包括产β-内酰胺酶菌株)和卡他莫拉菌(包括产β-内酰胺酶菌株)引起的急性支气管炎继发细菌感染和慢性支气管炎急性发作。
3.皮肤和皮肤软组织
金黄色葡萄球菌(包括产青霉素酶菌株)和化脓性链球菌引起的非复杂性皮肤和皮肤软组织感染,但脓肿通常需行外科引流排脓。
适当时应进行细菌培养和药敏试验以确定病原菌对头孢丙烯的敏感性。
口服,成人(13岁或以上)上呼吸道感染,一次0.5g,一日1次;下呼吸道感染,一次0.5g,一日2次;皮肤或皮肤软组织感染,一日0.5g,分1次或2次服用,严重病例一次0.5g,一日2次。
2至12岁儿童上呼吸道感染:按体重一次7.5mg/kg,一日2次;皮肤或皮肤软组织感染:按体重一次20mg/kg,一日1次。
6个月婴儿至12岁儿童中耳炎:按体重一次15mg/kg,一日2次;急性鼻窦炎:一般按体重一次7.5mg/kg,一日2次;严重病例,按体重一次15mg/kg,一日2次。
疗程一般7~14日,但β溶血性链球菌所致急性扁桃体炎、咽炎的疗程至少10天。
肾功能不全
肾功能不全患者服用头孢丙烯应按下表调整剂量:
肌酐清除率(ml/min) | 剂量(mg) | 服药间隔 |
30-120 | 常用量 | 常规时间 |
0-29* | 50%常用量 | 常规时间 |
*血液透析可清除体内部分头孢丙烯,因此应在血透完毕后服用。
肝损伤
肝功能受损患者无需调整剂量。