立博首页招标公告
【规 格】0.3g(按C15H18N4O4S计算)
【包 装】低硼硅玻璃管制注射剂瓶+注射用无菌粉末用溴化丁基胶塞。1瓶/盒。
【单 位】瓶
【批准文号】国药准字H20140120
【药品名称】
通用名称:注射用比阿培南
英文名称:Biapenem for Injection
汉语拼音:Zhusheyong Bi’apeinan
【成 份】
本品主要成份为比阿培南。
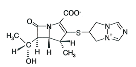
其化学名称为:(-)-6-[[(4R,5S,6S)-2-羧基-6-[(1R)-1-羟乙基]-4-甲基-7-氧代-1-氮杂双环[3.2.0]庚-2-烯-3-基]硫]-6,7-二氢-5H-吡唑并[1,2-a][1,2,4]三唑-4-鎓内盐。
化学结构式:

分子式:C15H18N4O4S
分子量:350.40
【性 状】本品为白色至微黄色结晶性粉末。
【规 格】0.3g(按C15H18N4O4S计算)
【不良反应】
1、本品临床试验时观察到的不良反应和增加药效时的不良反应概况
在报告的本制剂2348例不良反应中,64例(2.7%)的不良反应得到确认。其主要表现为发疹(1.0%)、痢疾(包含软便)(0.7%)等。另外,临床检验结果异常的2287例中,304例(13.3%)中522件得到确认,其主要表现为ALT升高144例、AST升高93例,嗜酸性粒细胞增多77例等。
2、本品上市后截止2011年12月的不良反应概况
在上市后使用结果调查1700例中,发现208例(12.2%)发生了不良反应(包括临床检查值异常),其主要表现为肝功能损伤77件(4.5%)、ALT升高45件(2.6%)、AST升高40件(2.4%)、ALP升高13件(0.8%)、LDH升高12件(0.7%)等。
3、本品严重不良反应
1)休克(不足0.1%)、过敏症状(频率不详)
由于会出现休克、过敏症状等,在给药时需注意观察。如出现不适感、口内异常感、喘息、眩晕、便意、耳鸣、发汗等;应中止给药,采取适当的处置。
2)间质性肺炎(0.1~5%以下)
由于会出现间质性肺炎,在给药时需注意观察。如出现发热、咳嗽、工作时气喘或呼吸困难等,应尽快进行胸部X光检查。当怀疑为间质性肺炎时,应中止给药,采取给予副肾上腺皮质激素等应急措施。
另外,有碳青霉烯类引起PIE症候群出现的报告。
3)伴有痢疾、血便的伪膜性大肠炎等重度大肠炎(频率不详)
由于会出现伴有痢疾、血便等重度大肠炎(伪膜性大肠炎等),给药时应注意观察。出现异常时应立即中止给药,采取相应的措施。
4)痉挛、意识障碍(频率不详)
由于会出现痉挛、意识障碍等中枢神经症状,给药时应注意观察。出现异常时应立即中止给药,采取相应的措施。特别是容易出现肾功能障碍和中枢神经障碍的患者,给药时应特别注意。
5)伴有AST、ALT、γ-GTP、ALP显著升高的肝功能障碍、黄疸(0.1~5%以下)
由于有伴随AST(GOT)、ALT(GPT)、γ-GTP、AL-P显著升高的肝功能障碍、黄疸的出现,需定期进行检查和观察。出现异常时应立即中止给药,采取相应的措施。
6)急性肾衰竭等严重肾功能障碍 (0.1%以下)
由于有急性肾衰竭等严重肾功能障碍的出现,需定期进行检查和观察。出现异常时应立即中止给药,采取相应的措施。
7)粒细胞缺乏症、全血细胞减少症、白血球减少、血小板减少(全部频率不详)
由于有无颗粒球症、全血细胞减少症、白血球减少、血小板减少的出现,需定期进行检查和观察。出现异常时应立即中止给药,采取相应的措施。
4、同类药物的严重不良反应
1)皮肤粘膜眼症候群(Stevens-Johnson症候群)、中毒性表皮坏死症(Lyell症候群)
其它的碳青霉烯类抗生素有可能导致皮肤粘膜眼症候群(Stevens-Johnson症候群)、中毒性表皮坏死症 (Lyell症候群),给药时需注意观察。如出现发热、红斑、瘙痒感、眼充血、口内炎等异常时应立即中止给药,采取相应的措施。
2)溶血性贫血
其它的碳青霉烯类抗生素有可能导致溶血性贫血,给药时需注意观察。如出现异常时应立即中止给药,采取相应的措施。
3)血栓性静脉炎
其它的碳青霉烯类抗生素有可能导致血栓性静脉炎,给药时需注意观察。如出现异常时应立即中止给药,采取相应的措施。
4)PIE综合征
其它的碳青霉烯类抗生素会引起PIE综合征,因此需充分进行观察。如发生异常时停止给药,施以适当的处置措施。
5)暴发性肝功能衰竭
其它的碳青霉烯类抗生素会引起暴发性肝功能衰竭,因此需充分进行观察。如发生异常时停止给药,施以适当的处置措施。
5、本品其他不良反应
本品尚可见下述不良反应,需要根据症状和体征采取相应的措施。

注(2):如出现症状,应停止给药,并采取适当的措施。
注(3):应密切观察,如出现症状,应停止给药,并采取适当的措施。
【禁 忌】
1、对本品成分既往有休克史者禁用;
2、正在服用丙戊酸、丙戊酸钠类药物的患者禁用 (有可能导致癫痫的再次发作)。
3、对本品成分既往有过敏史者禁用。
【注意事项】
1、以下患者慎重给药
1)对碳青霉烯类、青霉素类及头孢菌素类抗生素药物有过敏史的患者;
2)本人或直系亲属有易发支气管哮喘、皮疹、荨麻疹等过敏体质的患者;
3)严重肾功能不全的患者(容易引起痉挛、意识障碍等中枢神经系统障碍);
4)进食困难或正接受非口服营养剂的患者、全身状态恶化的患者(可能引起维生素K缺乏症状);
5)有癫痫史或中枢神经系统障碍患者慎用(容易引起痉挛,意识障碍等中枢神经障碍);
6)心脏、循环系统障碍的患者(存在引起循环血量增多,增加心脏负担,使症状加重的隐患);
7)肾功能障碍的患者(水分、氯化钠的过量可能会引起症状恶化)。
2、重点注意事项
对于本品导致的休克、过敏反应等没有可预知的方法,所以使用前应首先执行以下措施;
1)使用前应充分了解患者既往史,务必确认是否有抗生素药物过敏史;
2)在药物使用时,必须备有对于产生休克等症状处理的急救措施;
3)药物开始使用至结束,要让患者保持安静状态,密切观察,特别是开始使用阶段。
3、对于临床检查结果的影响
1)除尿潜血反应外,应注意在应用班氏试剂、斐林试剂以及试纸法检测尿糖时可能出现假阳性结果。
2)应注意直接库姆斯试验有时呈现阳性结果。
【孕妇及哺乳期妇女用药】
1、本品妊娠期间给药的安全性尚未确定。对于妊娠或有妊娠可能性的妇女,应该在判定治疗的获益大于危险的情况下,才可以使用本品。
2、不推荐哺乳期妇女使用本品。如必须使用本品,则应停止哺乳。动物实验(大鼠)结果表明,本品可进入乳汁中。
【儿童用药】
本品对于低出生体重儿、新生儿、婴儿、幼儿或儿童的安全性尚未确定。
【老年用药】
1、应在密切观察下慎重给药,关注剂量和用药间隔,并应注意观察患者的状态。
2、老年患者多数生理功能低下,易出现不良反应。
3、老年患者易出现由维生素K缺乏引起的出血倾向。
【药物相互作用】
本品与丙戊酸、丙戊酸钠等合用时,可降低丙戊酸血药浓度,可能导致癫痫发作。因此本品禁与丙戊酸、丙戊酸钠类药物合用。
【药物过量】
未见有关本品人体过量使用的报道。如发现患者过量使用本品,可采用常规的监护及对症治疗。
【药理毒理】
药理作用
比阿培南为碳青霉烯类抗生素,通过抑制细菌细胞壁的合成而发挥抗菌作用,对革兰阳性、革兰阴性的需氧和厌氧菌有广谱抗菌活性。比阿培南对人肾脱氢肽酶-I(DHP-I)稳定,可单独给药而不需与DHP-I抑制剂合用。
毒理研究
重复给药毒性:大鼠和犬连续3个月静脉注射比阿培南,主要毒性反应为粪便异常,出现稀便、水样便、粘液便等。大鼠静脉注射比阿培南600mg/kg/d,肾小管上皮细胞出现轻度浊肿;脾脏和盲肠肿大,但未见病理学改变。
遗传毒性:比阿培南的细菌回复突变试验、中国仓鼠卵巢细胞染色体畸变试验和小鼠微核试验结果均为阴性。
生殖毒性:大鼠妊娠前和妊娠初期静脉注射300mg/kg/d,出现摄食量减少、体重下降等毒性反应,但对其生育力未见影响。妊娠大鼠器官形成期静脉注射比阿培南300mg/kg/d,导致F1代胎仔体重降低,但对胎仔没有致死效应和致畸作用。围产期毒性试验中,100mg/kg/d及以上剂量组的F1代雌鼠在6周龄检查时见阴道张开延迟;但在10周龄时,未见生殖功能有异常变化。比阿培南对F2代胎仔和仔鼠均无明显影响。
【药代动力学】
文献报道的本品药代动力学情况如下:
1、血药浓度
图1所示为健康成人(5例)在单次静脉滴注比阿培南,滴注时间为60分钟,剂量分别为150mg、300mg及600mg时血浆中的药物浓度,呈剂量依赖性。重复滴注给药时体内动态与单剂量静滴给药大致相同,未发现有蓄积性。
多次静脉滴注时,药代学与单次基本相同,没有发现蓄积性。
图1健康成人单次静脉滴注后的血药浓度(参照表1)

表1 健康成人单次静脉注射比阿培南的药代动力学参数(Mean±SD,n=5)

2、体内分布
健康成人30分钟或60分钟单次静脉滴注比阿培南300mg,盆腔液中药物最高浓度为9.6μg/ml。用药6小时后痰液中浓度为0.1~2.5μg/g。
3、代谢
健康成人(5例)在单次静脉滴注150mg、300mg及600mg比阿培南,或300mg、600mg多次静脉滴注后,血浆中均未检出代谢物。在尿液中有9.7~23.4%作为代谢物被排出,且代谢物无抑菌活性。
4、排泄
健康成人(5例)在60分钟单次静脉静注150mg、300mg及600mg比阿培南后,0~2小时平均尿中药物浓度分别为325.5、584.8及1105.1μg/ml,给药8~12小时后尿中药物浓度分别为2.4、4.7及21.4μg/ml,且0~12小时比阿培南累积尿中排泄率分别为62.1%、63.4%及64.0%。
5、肾功能损伤患者给药后的血药浓度
1)肾功能损伤患者(3例)60分钟单次静脉滴注300mg比阿培南时,随着肾功能的下降,比阿培南半衰期延长。
(表2及图2)
表2 肾功能损伤患者药代学参数

图2 肾功能损伤患者单次静脉滴注后的血浆浓度

2)肌酐清除率约为50mL/min的中度肾功能损伤患者(3例)1日2次,连续7日共14次静脉滴比阿培南,滴注时间30分钟,在血浆及尿液中没有发现药物蓄积。
3)必须进行血液透析的肾功能损伤患者(5例),在非透析时,经60分钟静脉滴注300mg比阿培南,结果表明本品半衰期延长。
表3 血液透析患者单次静脉滴注后的血浆浓度(Mean±SD,n=5)

【贮 藏】密封,在阴凉(不超过20℃)干燥处保存。
【包 装】低硼硅玻璃管制注射剂瓶+注射用无菌粉末用溴化丁基胶塞。1瓶/盒。
【有 效 期】24个月
【执行标准】YBH04172014
【批准文号】国药准字H20140120
【生产企业】
企业名称:立博首页
生产企业:山东省临沂高新技术产业开发区罗七路
邮政编码:276017
电话号码:0539-8257899 8481991
传真号码:0539-8481900
售后服务:0539-8242699
网 址:www.bluehippomusic.com
对本品敏感的菌属(种)有:葡萄球菌属、链球菌属(包括肺炎球菌)、肠球菌属(屎肠球菌除外)、莫拉菌属、大肠埃希菌、克雷伯菌属、柠檬酸菌属、肠杆菌属、沙雷菌属、变形杆菌属、流感嗜血杆菌、铜绿假单胞菌、放线菌属、消化链球菌属、拟杆菌属、普氏菌属、梭菌属等。
本品适用于治疗由敏感细菌所引起的败血症、肺炎、肺部脓肿、急性支气管炎、慢性支气管炎急性发作、难治性膀胱炎、肾盂肾炎、腹膜炎和盆腔炎。
1、剂量与给药方法
通常,成人每日0.6g,分2次静脉滴注,每次滴注30~60分钟。
可根据患者年龄、病情程度适当增减给药剂量,但每日最大剂量不得超过1.2g。
2、配制方法及用药时注意
使用时,每0.3g比阿培南溶解于100ml生理盐水或葡萄糖注射液中静脉滴注。注射用水溶液必须是等张溶液。
本品仅供静脉滴注给药。
本品用生理盐水溶解后应尽快使用。室温条件下,本品溶解后应在6小时内静脉滴注完毕。冷藏条件(8℃),本品应在24小时内静脉滴注完毕。
另外,与含有L-半胱氨酸及L-胱氨酸的氨基酸制剂配合时,比阿培南的滴定度会降低,所以不宜配合。
在使用本制剂时,为减少耐药菌的产生,保证比阿培南及其他抗菌药物的有效性,比阿培南只用于治疗已证明或高度怀疑由敏感细菌引起的感染,并且选用最必要的治疗持续时间。在选择或修改抗菌药物治疗方案时,应考虑细菌培养和药敏试验的结果。如果没有这些试验的数据做参考,则应根据当地流行病学和病原菌敏感性进行经验性治疗。
在治疗前应进行细菌培养和药敏试验以分离并鉴定感染病原菌,确定其对比阿培南的敏感性。在获得以上检验结果之前可以先使用比阿培南进行治疗,得到检验结果之后再选择适当的治疗方法。
重度肾功能障碍患者,在减少给药剂量与延长给药间隔的同时,尚应在用药期间密切观察患者状态。
血液透析患者最好每日1次给药。